Регистр сдвига с обратной связью по переносу
Регистр сдвига с обратной связью по переносу (англ. feedback with carry shift register, FCSR) — сдвиговый регистр битовых слов, арифметический аналог регистра сдвига с линейной обратной связью, отличается от него наличием регистра переноса. Применяется для генерации псевдослучайных последовательностей битов, а также использовался для создания потокового шифра F-FCSR.
История
В 1994 регистр сдвига с обратной связью по переносу был изобретен Горески (англ. Goresky) и Клаппером (англ. Klapper), а также независимо от них Марсаглией (англ. Marsaglia) и Заманом (англ. Zaman), Кутюром (англ. Couture) и Л’Экуером (англ. L’Ecuyer). Причем Клаппер и Горески хотели использовать его для криптоанализа суммирующего генератора. С другой стороны, Марсаглия, Заман, Кутюр, Л’Экуер были нацелены найти хороший генератор случайных чисел для решения таких задач, как использование квази-Монте-Карло метода.[1]
Описание

В FCSR есть сдвиговый регистр, функция обратной связи и регистр переноса. Длина сдвигового регистра — количество битов. Когда нужно извлечь бит, все биты сдвигового регистра сдвигаются вправо на одну позицию.[2]
Вместо выполнения операции XOR над всеми битами отводной последовательности эти биты складываются друг с другом и с содержимым регистра переноса. Результат и становится новым битом. Результат, деленный на , становится новым содержимым регистра переноса.[3]
— значение регистра переноса
— новое состояние регистра
— новое значение регистра переноса
Пример

Рассмотрим пример 3-битового регистра с ответвлениями в первой и второй позициях. Пусть его начальное значение , а начальное содержимое регистра переноса равно . Выходом будет являться крайний правый бит сдвигового регистра. Дальнейшие состояния регистра приведены в таблице ниже:
| Номер шага | Сдвиговый регистр | Регистр переноса |
|---|---|---|
| 0 | 0 | |
| 1 | 0 | |
| 2 | 0 | |
| 3 | 0 | |
| 4 | 0 | |
| 5 | 0 | |
| 6 | 1 | |
| 7 | 1 | |
| 8 | 1 | |
| 9 | 1 | |
| 10 | 1 | |
| 11 | 0 | |
Конечное внутреннее состояние (включая содержимое регистра переноса) совпадает со вторым внутренним состоянием. С этого момента последовательность циклически повторяется с периодом равным . Стоит также упомянуть, что регистр переноса является не битом, а числом. Его размер должен быть не меньше , где — число ответвлений. В примере только три ответвления, поэтому регистр переноса однобитовый. Если бы было четыре ответвления, то регистр переноса состоял бы из двух битов и мог принимать значения или .[3]
Свойства



В отличие от LFSR, для FCSR существует задержка, прежде чем он перейдёт в циклический режим, то есть начнёт генерировать циклически повторяемую последовательность. В зависимости от выбранного начального состояния возможны 4 различных случая:[3]
- Начальное состояние может оказаться частью максимального периода.
- Начальное состояние может перейти в последовательность максимального периода, после некоторой начальной задержки.
- Начальное состояние может после начальной задержки породить последовательность нулей.
- Начальное состояние может после начальной задержки породить последовательность единиц.
Опытным путём можно проверить, чем закончится конкретное начальное состояние. Нужно запустить FCSR на некоторое время. (Если — начальный объем памяти, а — количество ответвлений, то достаточно тактов.) Если выходной поток вырождается в бесконечную последовательность нулей и единиц за бит, где — длина FCSR, то не стоит использовать это начальное состояние. [3]
Также, стоит отметить, что ряд ключей генератора на базе FCSR будут слабыми, так как начальное состояние FCSR соответствует ключу потокового шифра. [3]
Максимальный период FCSR равен , где — целое число связи. Это число задает ответвления и определяется как:
— должно быть простым числом, для которого 2 является примитивным корнем.[3][1]
Связь с LFSR
Также, как анализ LFSR основан на сложении примитивных многочленов mod 2, анализ FCSR основан на сложении чисел, называемых 2-adic. В мире 2-adic чисел существуют аналоги для всего. Точно также, как определяется линейная сложность, можно определить 2-adic сложность. Существует 2-adic аналог и для алгоритма Берлекэмпа-Мэсси. Это означает, что число возможных потоковых шифров по крайней мере удвоилось. Все что можно делать с LFSR, можно делать и с FCSR.[3]
Варианты реализации
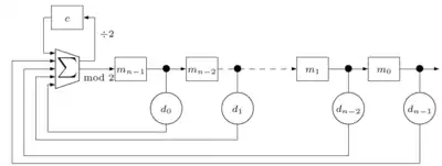
Конфигурация Галуа

Конфигурация Галуа состоит из:
- n — битного главного регистра , с некоторыми фиксированными ответвлениями
- n-1 — битного регистра переноса

В момент времени t состояние изменяется следующим образом:
1. , для всех , с и и где представляет бит обратной связи.
Конфигурация Фибоначчи

Конфигурация Фибоначчи состоит из:
- n — битного главного регистра
- ответвления связаны с регистром переноса , состоящего из битов, где вес Хамминга для
Состояние изменяется следующим образом:
1. ;
Возможные варианты использования в генераторах
Чередующиеся генераторы «стоп-пошел»

Основная статья: Генератор «стоп-пошел»
В нём используются три регистра сдвига различной длины. Здесь Регистр-1 управляет тактовой частотой 2-го и 3-го регистров, то есть Регистр-2 меняет своё состояние, когда выход Регистра-1 равен единице, а Регистр-3 — когда выход Регстра-1 равен нулю.[3]
Эти регистры используют FCSR вместо некоторых LFSR, и операция XOR может быть заменена сложением с переносом.
- Генератор «стоп-пошел» FCSR : Регистр-1, Регистр-2, Регистр-3 — это FCSR. Объединяющая функция — XOR.
- Генератор «стоп-пошел» FCSR/LFSR : Регистр-1 — FCSR; Регистр-2, Регистр-3 — LFSR. Объединяющая функция — сложение с переносом.
- Генератор «стоп-пошел» FCSR/LFSR : Регистр-1 — LFSR; Регистр-2, Регистр-3 — FCSR. Объединяющая функция — XOR.[3]
Каскадные генераторы
Основная статья: Каскад Голлманна
Данная схема представляет собой улучшенную версию генератора «стоп-пошёл». Он состоит из последовательности регистров, тактирование каждого из которых управляется предыдущим регистром. Если выходом Регистра-1 в момент времени является 1,то тактируется Регистр-2. Если выходом Регистра-2 в момент времени является 1, то тактируется Регистр-3, и так далее. Выход последнего регистра является выходом генератора.[3]
Существует два способа использовать FCSR в каскадных генераторах:
- Каскад FCSR. Каскад Голлманна с FCSR вместо LFSR.
- Каскад FCSR/LFSR. Каскад Голлманна с генераторами, меняющими LFSR на FCSR и наоборот.[3]
Комбинированные генераторы

Эти генераторы используют переменное количество FCSR и/или LFSR и множество функций, объединяющих регистры. Операция XOR разрушает алгебраические свойства FCSR, поэтому имеет смысл использовать эту операцию для их объединения.[3]
- Генератор четности FCSR. Все регистры — FCSR, а объединяющая функция — XOR.
- Генератор четности LFSR/FCSR. Используется смесь LFSR и FCSR, а объединяющая функция — XOR.
- Пороговый генератор FCSR. Все регистры — FCSR, а объединяющая функция — мажорирование.
- Пороговый генератор LFSR/FCSR. Используется смесь LFSR и FCSR, а объединяющая функция — мажорирование.
- Суммирующий генератор FCSR. Все регистры — FCSR, а объединяющая функция — сложение с переносом.
- Суммирующий генератор LFSR/FCSR. Используется смесь LFSR и FCSR, а объединяющая функция — сложение с переносом.[3]
Применение
Регистры сдвига с обратной связью по переносу могут служить основой при создании различных генераторов (некоторые из них описывались выше), а также различных потоковых шифров.
F-FCSR
Основная статья : F-FCSR .
F-FCSR — семейство поточных шифров, основанное на использовании регистра сдвига с обратной связью по переносу(FCSR) с линейным фильтром на выходе. Идея шифра была предложена Терри Бергером, Франсуа Арно и Седриком Лараду. F-FCSR был представлен на конкурсе eSTREAM, был включен в список победителей конкурса в апреле 2008, но в дальнейшем была выявлена криптографическая слабость и в сентябре 2008 F-FCSR был исключен из списка eSTREAM.
См. также
Примечания
- A. Klapper A Survey of Feedback with Carry Shift Registers (недоступная ссылка)
- A. Klapper and M. Goresky, Feedback Shift Registers, 2-Adic Span, and Combiners With Memory, in Journal of Cryptology vol. 10, pp. 111—147, 1997, (недоступная ссылка)
- Б. Шнайер, 2013.
- A. Klapper and M. Goresky, Fibonacci and Galois Representations of Feedback with Carry Shift Registers, 2004,
- Francois Arnault, Thierry Berger, C´edric Lauradoux, Marine Minier and Benjamin Pousse, A new approach for FCSRs,
Литература
- Шнайер Б. Прикладная криптография. Протоколы, алгоритмы, исходные тексты на языке Си. — Триумф, 2013. — 816 с. — ISBN 978-5-89392-527-2.