Никотиновая кислота
Никоти́новая кислота́ (ниацин, витамин PP[4], витамин B3[5]) — витамин, участвующий во многих окислительно-восстановительных реакциях, образовании ферментов и обмене липидов и углеводов в живых клетках[4], лекарственное средство.
| Никотиновая кислота | |
|---|---|
| Nicotinic acid | |
| |
| |
| Химическое соединение | |
| ИЮПАК | 3-пиридинкарбоновая кислота, азин-3-овая кислота[1] |
| Брутто-формула | C6H5NO2 |
| CAS | 59-67-6 |
| PubChem | 938 |
| DrugBank | 00627 |
| Состав | |
| Классификация | |
| Фармакол. группа | Витамины и витаминоподобные средства. Никотинаты. Ангиопротекторы и корректоры микроциркуляции[2]. |
| АТХ | C04AC, C04AC01, C10AD, C10AD02 |
| МКБ-10 | A04.9, B99., D68.8, E52., E72., E78.5, G43., G46., G51., I20., I63., I69., I70., I70.2, I73., I73.0, I73.1, I77.1, I79.2, K52., L98.4, T14.1, T36., T37., T38., T39., T40., T41., T42., T43., T44., T45., T46., T47., T48., T49., T50., T65.9[1] |
| Лекарственные формы | |
| субстанция-порошок, таблетки 50 мг, 100 мг, 500 мг, таблетки пролонгированного действия, раствор для инъекций 10 мг/мл[1] | |
| Другие названия | |
| «Никотиновая кислота МС», «Никотиновая кислота-Виал»[1] | |
| Никотиновая кислота | |||
|---|---|---|---|
| |||
| Общие | |||
| Систематическое наименование |
Никотиновая кислота | ||
| Традиционные названия | Ниацин, витамин РР | ||
| Хим. формула | С6H5NO2 | ||
| Рац. формула | C6H5NO2 | ||
| Физические свойства | |||
| Молярная масса | 123,11 г/моль | ||
| Термические свойства | |||
| Температура | |||
| • плавления | 238 °C[3] | ||
| Классификация | |||
| Рег. номер CAS | 59-67-6 | ||
| PubChem | 938 | ||
| Рег. номер EINECS | 200-441-0 | ||
| SMILES | |||
| InChI | |||
| RTECS | QT0525000 | ||
| ChEBI | 15940 | ||
| ChemSpider | 913 | ||
| Безопасность | |||
| ЛД50 | 149 мг/кг | ||
| Токсичность | 1 мг/м³ | ||
| NFPA 704 | |||
| Приведены данные для стандартных условий (25 °C, 100 кПа), если не указано иное. | |||
Белый кристаллический порошок без запаха, слабокислого вкуса. Трудно растворим в холодной воде (1:70), лучше в горячей (1:15), мало растворим в этаноле, очень мало — в эфире[2].
Содержится в ржаном хлебе, ананасе, манго, свёкле, гречке, фасоли, мясе, грибах, печени, почках. В пищевой промышленности используется в качестве пищевой добавки E375 (на территории России с 1 августа 2008 года исключена из списка разрешённых добавок[6]). В США и англоязычных странах была переименована в «ниацин» в 1942 году[7], чтобы отсечь всякие ассоциации с токсином под названием никотин и распространённые заблуждения о том, что табакокурение или жевание табака может восполнить потребности организма в витаминах[8].
Гиповитаминоз РР приводит к пеллагре — заболеванию, симптомами которого являются дерматит, диарея, деменция.
На конгрессе Европейской академии дерматологии и венерологии были представлены результаты исследования, которое показало, что резкое увеличение потребления витамина B3 не позднее чем за 24-48 часов до выхода на солнце может потенциально снизить частоту развития немеланомного рака кожи. [9]
Синтез и свойства
Впервые это вещество было получено исследователем Хубером в 1867 году при окислении никотина хромовой кислотой. Современное название никотиновая кислота обрела в 1873 году, когда австрийский химик Хуго Вайдель получил это вещество, окисляя никотин азотной кислотой. Однако о витаминных свойствах никотиновой кислоты ещё ничего не было известно.
В 1920-х годах американский врач Джозеф Голдбергер (англ. Joseph Goldberger) предположил существование витамина РР, способствующего профилактике и лечению пеллагры[10]. И только в 1937 году группой учёных во главе с Элвейджем было доказано, что никотиновая кислота и есть витамин РР. В 1938 году в СССР уже успешно лечили пеллагру никотиновой кислотой (в то же время, пеллагра являлась одной из основных причин смертности заключённых ИТЛ, их лечение не проводилось[11]). Современные как лабораторные, так и промышленные методы синтеза никотиновой кислоты основаны также на окислении производных пиридина. Так, никотиновая кислота может быть синтезирована окислением β-пиколина (3-метилпиридина):
либо окислением хинолина до пиридин-2,3-дикарбоновой кислоты с последующим её декарбоксилированием:
Аналогично никотиновая кислота синтезируется декарбоксилированием пиридин-2,5-дикарбоновой кислоты, получаемой окислением 2-метил-5-этилпиридина. Сама никотиновая кислота декарбоксилируется при температурах выше 260 °С.
Никотиновая кислота образует соли с кислотами и основаниями, никотинаты серебра и меди (II) нерастворимы в воде, на осаждении никотината меди из раствора основан гравиметрический метод определения никотиновой кислоты.
Никотиновая кислота легко алкилируется по пиридиновому атому азота, при этом образуются внутренние четверичные соли — бетаины, некоторые из которых встречаются в растениях. Так, тригонеллин — бетаин N-метилникотиновой кислоты — содержится в семенах пажитника, гороха, кофе и ряда других растений.
Реакции никотиновой кислоты по карбоксильной группе типичны для карбоновых кислот: она образует галогенангидриды, сложные эфиры, амиды и так далее. Амид никотиновой кислоты входит в состав кофактора кодегидрогеназ, ряд амидов никотиновой кислоты нашёл применение в качестве лекарственных средств (никетамид, никодин).
![]() | ![]() | ![]() |
| Тригонеллин | Никотинамид | Никетамид |
Фармакологическое действие
Витаминное, гиполипидемическое и специфическое противопеллагрическое средство. В организме никотиновая кислота превращается в никотинамид, который входит в состав коферментов дегидрогеназ - (НАД и НАДФ), переносящих водород, участвует в метаболизме жиров, белков, аминокислот, пуринов, тканевом дыхании, углеводов - гликолизе и гликогенолизе, процессах биосинтеза.

Нормализует концентрацию липопротеинов крови; в больших дозах (3-4 г/сут) снижает концентрацию общего холестерина, ЛПНП, уменьшает индекс холестерин/фосфолипиды, повышает содержание ЛПВП, обладающих антиатерогенным эффектом. Гипохолестеринемический эффект проявляется через несколько дней, снижение триглицеридов — через несколько часов после приема[1]. Вместе с тем, клинические испытания терапии статинами в комбинации с высокими дозами никотиновой кислоты, проводившиеся National Heart, Lung, and Blood Institute[12], показали, что, хотя у пациентов, принимавших никотиновую кислоту вместе со статином, наблюдалось повышение уровня ЛПВП и снижение уровня триглицеридов по сравнению с пациентами, принимавшими только статин, частота сердечных приступов в обеих группах не отличалась[13].
Расширяет мелкие кровеносные сосуды (в том числе головного мозга), улучшает микроциркуляцию, оказывает слабое антикоагулянтное действие, повышая фибринолитическую активность крови. Обладает дезинтоксикационными свойствами[14].
Никотинамид, в отличие от никотиновой кислоты, не оказывает выраженного сосудорасширяющего действия, и при его применении не наблюдается покраснения кожных покровов и ощущения прилива крови к голове.[15]
Фармакокинетика
Абсорбция из ЖКТ (преимущественно в пилорическом отделе желудка и антральном отделе двенадцатиперстной кишки) — быстрая, замедляется при мальабсорбции. В организме трансформируется в никотинамид. Cmax после перорального приема — 45 мин. Метаболизируется в печени. Основные метаболиты — N-метил-2-пиридон-3-карбоксамид и N-метил-2-пиридон-5-карбоксамид не обладают фармакологической активностью.
Может синтезироваться в кишечнике бактериальной флорой из поступившего с пищей триптофана (из 60 мг триптофана образуется 1 мг никотиновой кислоты) при участии пиридоксина (витамина B6) и рибофлавина (витамина B2).
Период полувыведения — 45 мин, выводится почками в виде метаболитов, при приёме высоких доз — преимущественно в неизменённом виде.[1]
Применение
- Показания
Гипо- и авитаминоз РР: пеллагра, неполноценное и несбалансированное питание (в том числе парентеральное), мальабсорбция (в том числе на фоне нарушения функции поджелудочной железы), быстрое похудение, гастрэктомия, болезнь Хартнупа (наследственное заболевание, сопровождающееся нарушением усвоения некоторых аминокислот, в том числе триптофана), заболевания ЖКТ (глютеновая энтеропатия, персистирующая диарея, тропическая спру, болезнь Крона), а также состояния повышенной потребности организма в витамине РР: длительная лихорадка, заболевания гепатобилиарной области (острые и хронические гепатиты, цирроз печени), гипертиреоз, хронические инфекции, злокачественные опухоли, длительный стресс, беременность (особенно на фоне никотиновой и лекарственной зависимости, многоплодная беременность), период лактации.
Гиперлипидемия, в том числе первичная гиперлипидемия (типы IIa, IIb, III, IV, V).
Ишемические нарушения мозгового кровообращения, облитерирующие заболевания сосудов конечностей (облитерирующий эндартериит, болезнь Рейно), спазм сосудов конечностей, желче- и мочевыводящих путей; диабетическая полиневропатия, микроангиопатия.
Неврит лицевого нерва, гипоацидный гастрит, энтероколит, колит, длительно не заживающие раны и трофические язвы.
- Противопоказания
Гиперчувствительность, язвенная болезнь желудка и 12-перстной кишки (в стадии обострения), детский возраст (до 2 лет — для назначения в качестве гиполипидемического средства).
- С осторожностью
Геморрагии, глаукома, подагра, гиперурикемия, печеночная недостаточность, артериальная гипотензия, гиперацидный гастрит, язвенная болезнь желудка и 12-перстной кишки (вне стадии обострения).
- Побочное действие
При приёме высоких доз внутрь: гиперемия кожи лица и верхней половины туловища, парестезии, головокружение, «приливы» крови к коже лица, аритмия, ортостатическая гипотензия, диарея, сухость кожи и слизистой оболочки глаз, гипергликемия, гиперурикемия, миалгия, тошнота, рвота, пептическая язва, изнуряющий кожный зуд.
При длительном применении — жировая дистрофия печени, гиперурикемия, снижение толерантности к глюкозе, повышение концентрации в крови АСТ, ЛДГ, ЩФ, ощущение жара, гиперемия кожи (особенно лица и шеи), головная боль, головокружение, астения.[1]
В 2010 году журнал «World Journal of Gastroenterology» опубликовал статью, в которой группа авторов обнаружила[16], что потребление ниацина может тормозить процесс сжигания жира. Исследователи предположили, что это может быть также связано с бифазическими колебаниями уровня глюкозы и инсулина в крови, что приводит к усилению аппетита и даже увеличению веса.
Ещё одно побочное действие никотиновой кислоты это стимуляция роста волос. Никотиновая кислота при нанесении 2-5 % её раствора на кожу способна усилить циркуляции крови в коже головы, что помогает волосам расти быстрее. Поэтому косметологи используют ее для лечения алопеции[17].
Режим дозирования
Внутрь (после еды), для профилактики взрослым назначают 15-25 мг, детям — 5-20 мг/сут.
При пеллагре взрослым — по 100 мг 2-4 раза в день, в течение 15-20 дней, детям — 12,5-50 мг 2-3 раза в день.
При атеросклерозе — по 50-100 мг 2-4 раза в сутки.
При др. показаниях: взрослым — 20-50 мг (до 100 мг), детям — 5-30 мг 2-3 раза в день.
Суточные нормы потребления никотиновой кислоты
| Возраст | Суточная норма потребления никотиновой кислоты, мг/день | |
|---|---|---|
| Младенцы | до 6 месяцев | 2 |
| Младенцы | 7 — 12 месяцев | 6 |
| Дети | 1 — 3 года | 8 |
| Дети | 4 — 8 лет | 10 |
| Дети | 9 — 13 лет | 12 |
| Мужчины | 14 лет и старше | 20 |
| Женщины | 14 лет и старше | 20 |
| Беременные женщины | Любой возраст | 25 |
| Кормящие женщины | Любой возраст | 25 |
- Взаимодействие
Необходимо соблюдать осторожность при комбинировании с гипотензивными ЛС, антикоагулянтами и АСК.
Снижает токсичность неомицина и предотвращает индуцируемое им уменьшение концентрации холестерина и ЛПВП.[1]
Особые указания
Для профилактики гиповитаминоза РР наиболее предпочтительно сбалансированное питание; лечение требует дополнительного назначения витамина РР. Продукты, богатые витамином РР, — дрожжи, печень, орехи, яичный желток, молоко, рыба, курица, мясо, бобовые, гречка, неочищенное зерно, зелёные овощи, земляные орехи, любая белковая пища, содержащая триптофан. Тепловая обработка молока не изменяет в нём содержание витамина РР.
В процессе длительного лечения (особенно при назначении не в качестве витаминного ЛС) необходимо контролировать функцию печени. Для предупреждения осложнений со стороны печени рекомендуется включать в диету продукты, богатые метионином (творог), или использовать метионин, липоевую кислоту и другие липотропные ЛС.
Нецелесообразно использовать для коррекции дислипидемий у больных сахарным диабетом.
Для снижения раздражающего эффекта на слизистую оболочку ЖКТ рекомендуют препарат запивать молоком.[1]
Форма выпуска
Порошок; таблетки по 0,05 г (в лечебных целях); 1,7 % раствор натрия никотината (соответствует 1 % никотиновой кислоты) в ампулах по 1 мл.
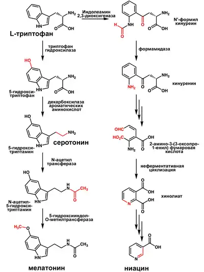
Биосинтез

В печени возможен биосинтез ниацина из незаменимой для человека аминокислоты триптофана, для синтеза одного миллиграмма ниацина требуется около 60 мг триптофана — это ниациновый эквивалент.[18] Пятичленный ароматический гетероцикл триптофана расщепляется и перестраивается с аминогруппой триптофана в шестичленный гетероцикл ниацина. Для реакций превращения триптофана в NAD требуется рибофлавин (витамин B2), витамин В6, железо.
Ежегодно химическая промышленность синтезирует миллионы килограммов ниацина из 3-метилпиридина.
См. также
Примечания
- Поиск по базе данных ЛС, опции поиска: МНН — Никотиновая кислота, флаги «Искать в реестре зарегистрированных ЛС», «Искать ТКФС», «Показывать лекформы» (недоступная ссылка). Обращение лекарственных средств. ФГУ «Научный центр экспертизы средств медицинского применения» Росздравнадзора РФ (27 марта 2008). — Типовая клинико-фармакологическая статья является подзаконным актом и не охраняется авторским правом согласно части четвёртой Гражданского кодекса Российской Федерации №230-ФЗ от 18 декабря 2006 года. Дата обращения: 6 апреля 2008. Архивировано 3 сентября 2011 года.
- Никотиновая кислота. Реестр лекарственных средств. РеЛеС.ру (22 мая 2002). Дата обращения: 6 апреля 2008. Архивировано 5 февраля 2012 года.
- Bradley J., Williams A., Andrew S.I.D. Lang Jean-Claude Bradley Open Melting Point Dataset // Figshare — 2014. — doi:10.6084/M9.FIGSHARE.1031637.V2
- Малая медицинская энциклопедия. Том 1. 1991. С. 330—337
- Listing of vitamins. Harvard Health publishing, 2009-2018 «NIACIN (vitamin B3, nicotinic acid)»
- Г.Г.ОНИЩЕНКО Постановление гл.гос.сан.врача от 26.05.2008 N 32 "Об утверждении СанПиН 2.3.2.2364-08" Исключить из перечня приложения 1 следующие пищевые добавки ... E375 Никотиновая кислота
- Druggist's Digest of New Formulas, Recent Pharmaceutical Developments, and Other Professional Data, Jour. ADA Volume 3, ISSUE 1, P28-29, January 01, 1942: "NIACIN IS NEW NAME FOR NICOTINIC ACID: Federal Security Administrator Paul V. McNutt has accepted the recommendation of the Committee on Food and Nutrition of the National Research Council that the term "niacin" be adopted as a synonym for nicotinic add and the term “niacin amide” as a synonym for nicotinic acid amide." pdf
- NIACIN AND NICOTINIC ACID / JAMA. 1942;118(10):823
- Витамин B3 защитил клетки кожи от воздействия ультрафиолета. Naked Science (2 ноября 2020). Дата обращения: 6 ноября 2020.
- The Discovery of Niacin, Biotin, and Pantothenic Acid, Ann Nutr Metab 2012;61:246–253
- Бердинских В. А. История одного лагеря (Вятлаг). — М.: Аграф, 2001. — С. 40.
- National Heart, Lung, and Blood Institute
- NIH stops clinical trial on combination cholesterol treatment // NIH News
- Никотиновая кислота (Nicotinic acid). Энциклопедия лекарств и товаров аптечного ассортимента. РЛС Патент. — Инструкция, применение и формула.
- НИКОТИНАМИД
- Da Li, et al. Chronic niacin overload may be involved in the increased prevalence of obesity in US children // World J Gastroenterol. — 2010. — 21 мая. — С. 2378-2387. — doi:10.3748/wjg.v16.i19.2378.
- ТРИХОЛОГ про никотиновую кислоту. Ирина Попова, faberinfo (видео)
- Jacobson, EL Niacin. Linus Pauling Institute (2007). Дата обращения: 31 марта 2008. Архивировано 5 февраля 2012 года.
Литература
- Березов Т. Т., Коровкин Б. Ф. Биологическая химия: Учебник.— 1998.— 704 с









